PEP 51

introduction

Hemopressin, a fragment derived from the blood protein hemoglobin, was the first peptide described to have type 1 cannabinoid receptor activity. Pep51 is a peptide from the Hemopressin family.

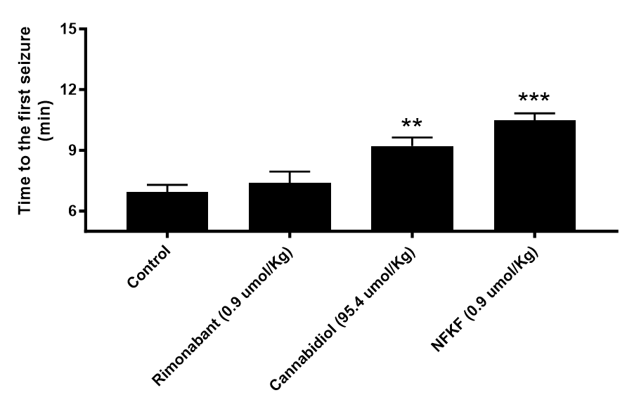
Pep51 delays the first seizure in rats induced by pilocarpine (a model of very persistent and long-lasting seizures) and prevents neurodegeneration in experimental model of multiple sclerosis.

PEP51 FAQ

PEP51™ is a formulated version of a naturally occurring peptide, which is a fragment of hemoglobin protein, discovered by the science team of Proteimax as a member of the Hemopressin family (the first peptide Cannabinoid ever discover). https://en.wikipedia.org/wiki/Hemopressin.

Intensive research has shown that PEP51™ delays the first seizure in rats induced by pilocarpine (a model of very persistent and long-lasting seizures) and prevents neurodegeneration in experimental models of multiple sclerosis.

Orally administered Pep51 was shown to be hundred times more potent than cannabidiol in delaying the first seizure induced by pilocarpine in mice. Using an experimental autoimmune encephalomyelitis (EAE) model of multiple sclerosis we have shown that C57BL/6J mice orally administrated with Pep51 presented better EAE clinical scores and improved locomotor activity compared to saline administrated control mice. Pep51 blocked the production of IL-1beta and IL-6, and has high scores binding cannabinoid type 2 receptors. Therefore, pep51 is an exciting new possibility to neurodegenerative diseases therapeutics.

 

The main difference is the efficacy and specificity. Pep51 is a natural, orally active, very stable, easy to produce and it is 100 times more potent than cannabidiol.

The safety of PEP51 ™ is still being studied, but the first assays in vivo have shown that Pep51 does not cause depression or euphoria, common side effects of cannabinoids.

Depends on the application, a couple of hours to weeks.

Scientific Publications

SD-Logo
NFKF is a synthetic fragment derived from rat hemopressin that protects mice from neurodegeneration
https://www.sciencedirect.com/science/article/abs/pii/S0304394020300355?via%3Dihub

SD-Logo
Hemopressin as a breakthrough for the cannabinoid field
https://www.ncbi.nlm.nih.gov/pmc/articles/PMC8609950/

The meaning of Pep51:

The prevention of Neurodegeneration is within our reach

Skip to content